10-S3-Q2 Read more about 10-S3-Q2 Hyperbolic functions, substitution. [STEP III 2010 Question 2 (Pure)]
10-S2-Q8 Read more about 10-S2-Q8 Curve sketching, trigonometry, exponential function, area under curve, sum. [STEP II 2010 Question 8 (Pure)]
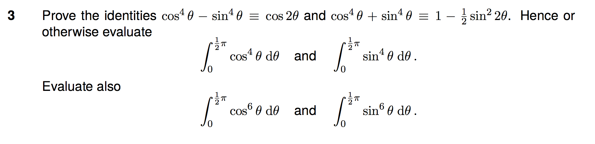
10-S2-Q2 Read more about 10-S2-Q2 Trigonometric identities, useless Eustace. [STEP II 2010 Question 2 (Pure)]
09-S2-Q7 Read more about 09-S2-Q7 Integration as inverse differentiation, polynomial, exponential, product rule. [STEP II 2009 Question 7 (Pure)]
06-S1-Q7 Read more about 06-S1-Q7 Trigonometry, modulus, exponential function, curve sketching, roots of equation. [STEP I 2006 Question 7 (Pure)]
05-S2-Q3 Read more about 05-S2-Q3 Curve sketching, trigonometry, inequality. [STEP II 2005 Question 3 (Pure)]