16-S3-Q3 Read more about 16-S3-Q3 Integration, exponential, rational function, polynomial. [STEP III 2016 Question 3 (Pure Mathematics)]
15-S3-Q1 Read more about 15-S3-Q1 Recurrence relation, integration by substitution. [STEP III 2015 Question 1 (Pure)]
15-S2-Q6 Read more about 15-S2-Q6 Integration by substitution, differentiation. [STEP II 2015 Question 6 (Pure)]
14-S1-Q2 Read more about 14-S1-Q2 Area under curve, modulus and logarithmic functions. [STEP I 2014 Question 2 (Pure)]
13-S3-Q1 Read more about 13-S3-Q1 Tan half angle substitution, t-sub, differentiation, trigonometry, recurrence formula. [STEP III 2013 Question 1 (Pure)]
13-S2-Q2 Read more about 13-S2-Q2 Substitution and by parts, recurrence formula. [STEP II 2013 Question 2 (Pure)]
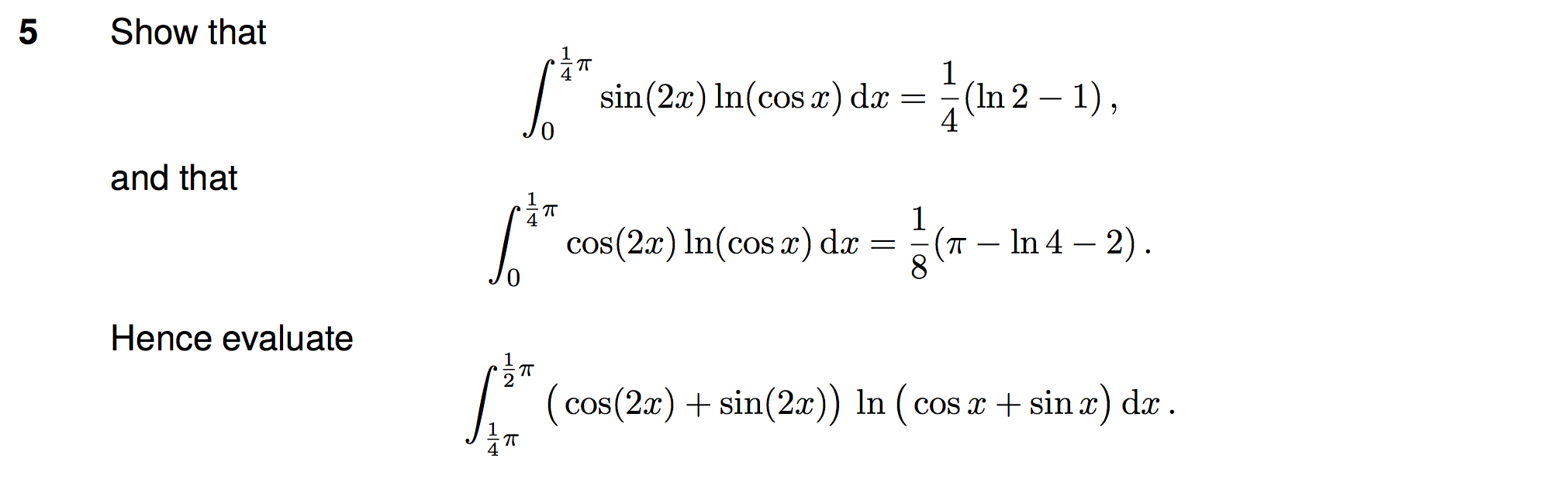
12-S1-Q5 Read more about 12-S1-Q5 Trigonometric and logarithmic functions, parts, substitution. [STEP I 2012 Question 5 (Pure)]
11-S3-Q5 Read more about 11-S3-Q5 Area integral, parametric equation, coordinate geometry. [STEP III 2011 Question 5 (Pure)]