02-S2-Q1 Read more about 02-S2-Q1 Integration by substitution, sine, trigonometry. [STEP II 2002 Question 1 (Pure)]
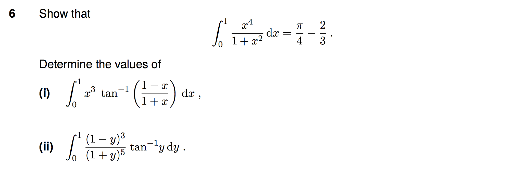
01-S2-Q6 Read more about 01-S2-Q6 Arctan, integration by substitution. [STEP II 2001 Question 6 (Pure)]
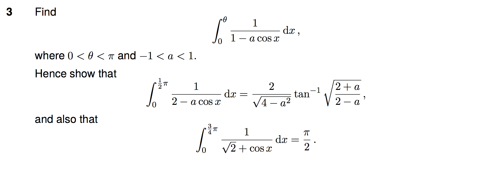
00-S2-Q6 Read more about 00-S2-Q6 t-substitution, tan half angle substitution, trigonometry. [STEP II 2000 Question 6 (Pure)]
00-S1-Q8 Read more about 00-S1-Q8 Modulus function, absolute value, trigonometric function, curve sketching. [STEP I 2000 Question 8 (Pure)]
99-S2-Q6 Read more about 99-S2-Q6 Substitution of Mobius form, logarithm, nice trick. [STEP II 1999 Question 6 (Pure)]
98-S3-Q2 Read more about 98-S3-Q2 Beta function, integration by parts, recurrence formula. [STEP III 1998 Question 2 (Pure)]
97-S2-Q3 Read more about 97-S2-Q3 Integration by partial fractions, arctan, logarithm. [STEP II 1997 Question 3 (Pure)]
96-S3-Q3 Read more about 96-S3-Q3 Integration by substitution, arctan, trigonometry. [STEP III 1996 Question 3 (Pure)]