99-S2-Q8 Read more about 99-S2-Q8 Differentiation, trigonometry, approximation, small angle. [STEP II 1999 Question 8 (Pure)]
99-S1-Q8 Read more about 99-S1-Q8 Inequality, integral, logarithm function, harmonic series, sum, limit. [STEP I 1999 Question 8 (Pure)]
98-S2-Q3 Read more about 98-S2-Q3 Telescoping sum, limit, ratio of terms. [STEP II 1998 Question 3 (Pure)]
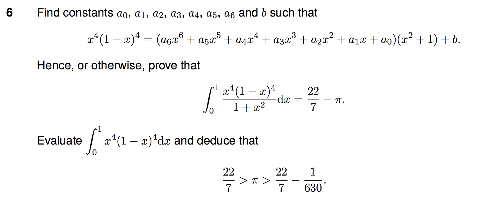
97-S1-Q6 Read more about 97-S1-Q6 Factorisation, algebraic manipulation, integration, inequality, C1. [STEP I 1997 Question 6 (Pure)]
96-S1-Q6 Read more about 96-S1-Q6 Telescoping sum, trigonometry, integration. [STEP I 1996 Question 6 (Pure)]
95-S3-Q4 Read more about 95-S3-Q4 Trigonometric series, inequality. [STEP III 1995 Question 4 (Pure)]
95-S2-Q4 Read more about 95-S2-Q4 Integration by parts, recurrence relation, curve sketching, trigonometry, inequality, limit. [STEP II 1995 Question 4 (Pure)]
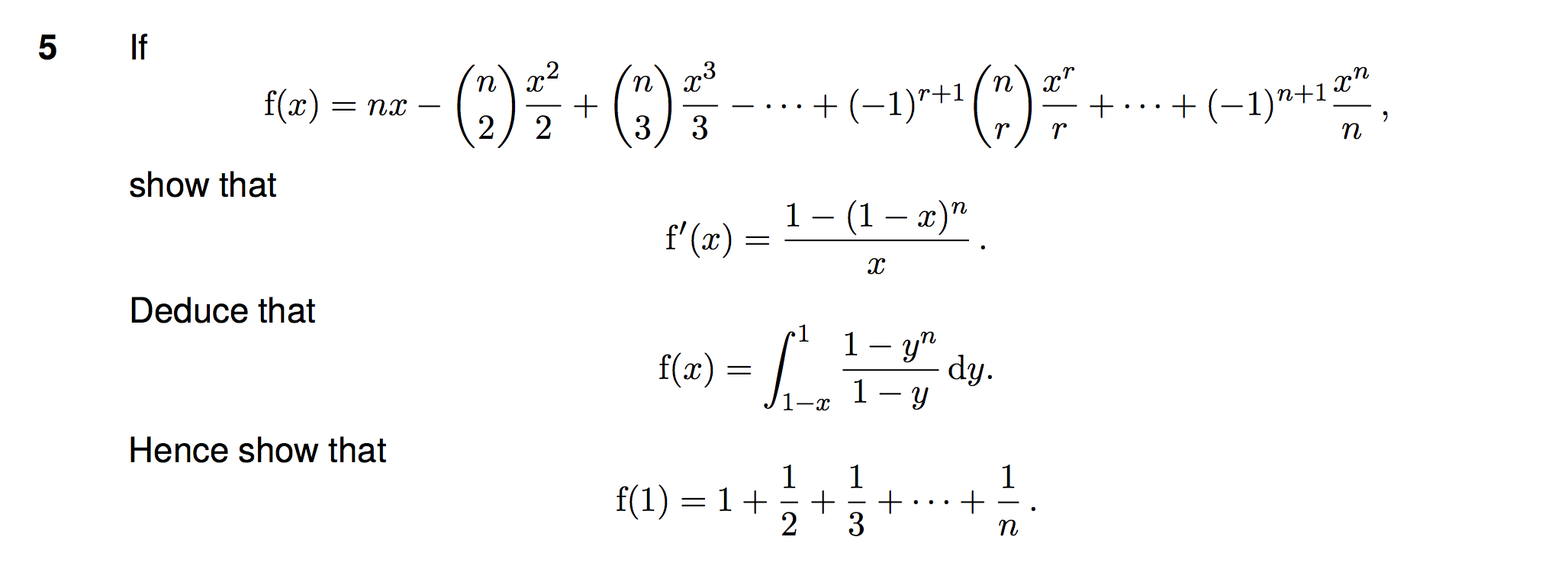
95-S1-Q5 Read more about 95-S1-Q5 Binomial coefficient, differentiation, integral, harmonic sum. [STEP I 1995 Question 5 (Pure)]
91-S1-Q9 Read more about 91-S1-Q9 Sum, inequality, approximation, analysis, C1. [STEP I 1991 Question 9 (Pure)]
87-S3-Q7 Read more about 87-S3-Q7 Taylor series of arctan function with remainder, inequality, modulus function, series, error approximation. [STEP II 1987 Question 7 (Pure)]