10-S3-Q7 Read more about 10-S3-Q7 Proof by induction, Chebyshev polynomial, differential equation, polynomial, degree. [STEP III 2010 Question 7 (Pure)]
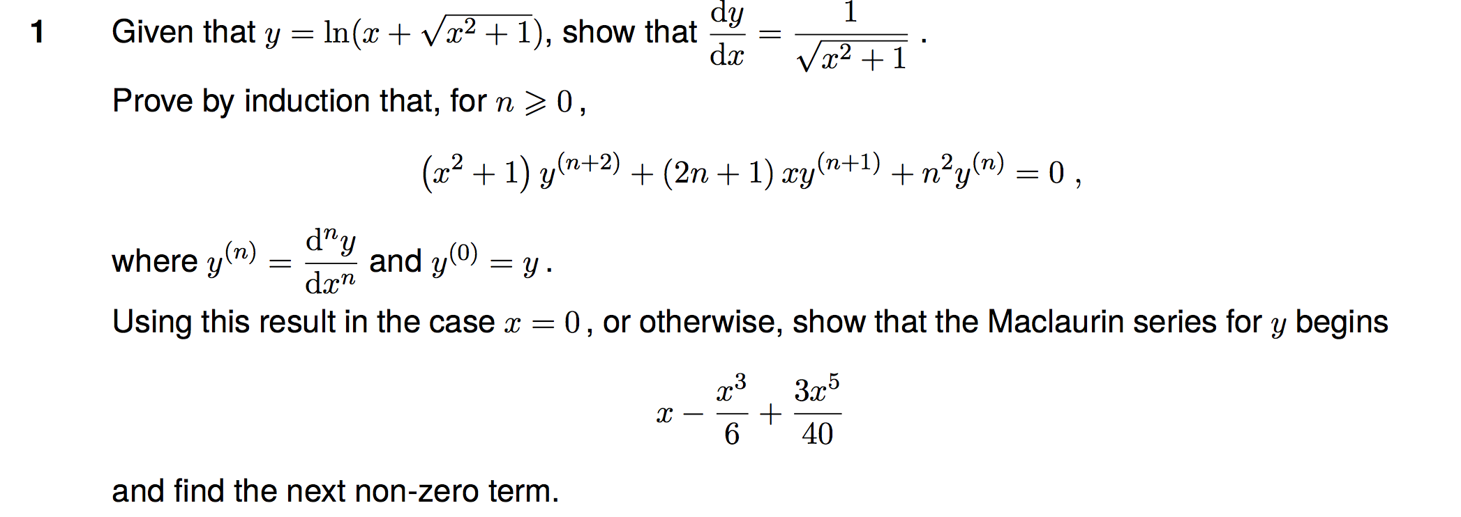
01-S3-Q1 Read more about 01-S3-Q1 Taylor series, differentiation, induction, differential equation. [STEP III 2001 Question 1 (Pure)]