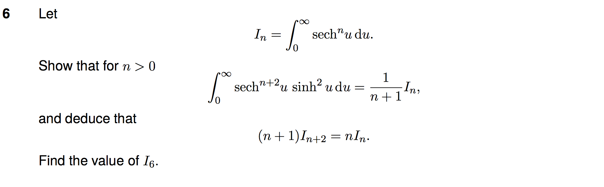
Tags Integration by parts Code Spec-S3-Q6 Year 1986 Step 3 Question number 6 Recurrence relation, integral, sech, hyperbolic function. [STEP III Specimen Question 6 (Pure)]