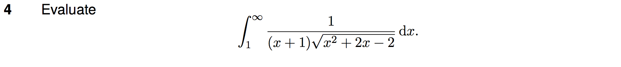
Tags Integration by substitution Code Spec-S1-Q4 Year 1986 Step 1 Question number 4 Trigonometry, trigonometric, integral, arctan. [STEP I Specimen Question 4 (Pure)]