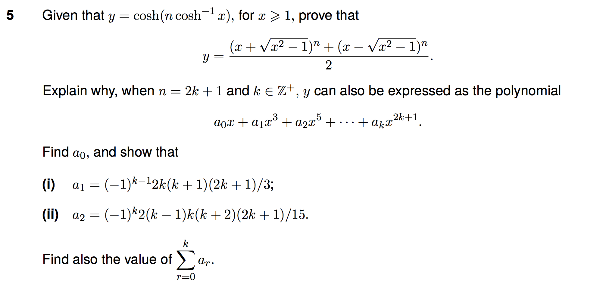
Tags Hyperbolic functions Code 89-S3-Q5 Year 1989 Step 3 Question number 5 Sum, series, polynomial, Chebyshev's polynomial (hyperbolic). [STEP III 1989 Question 5 (Pure)]