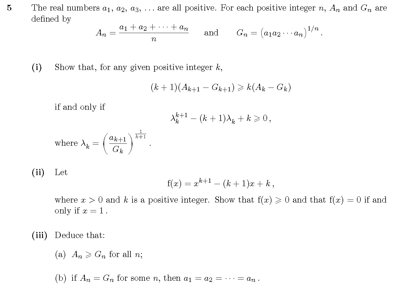
Tags Arithmetic mean - geometric mean Code 18-S3-Q5 Year 2018 Step 3 Question number 5 arithmetic mean, geometric mean, inequality, induction. [STEP III 2018 Question 5 (Pure)]