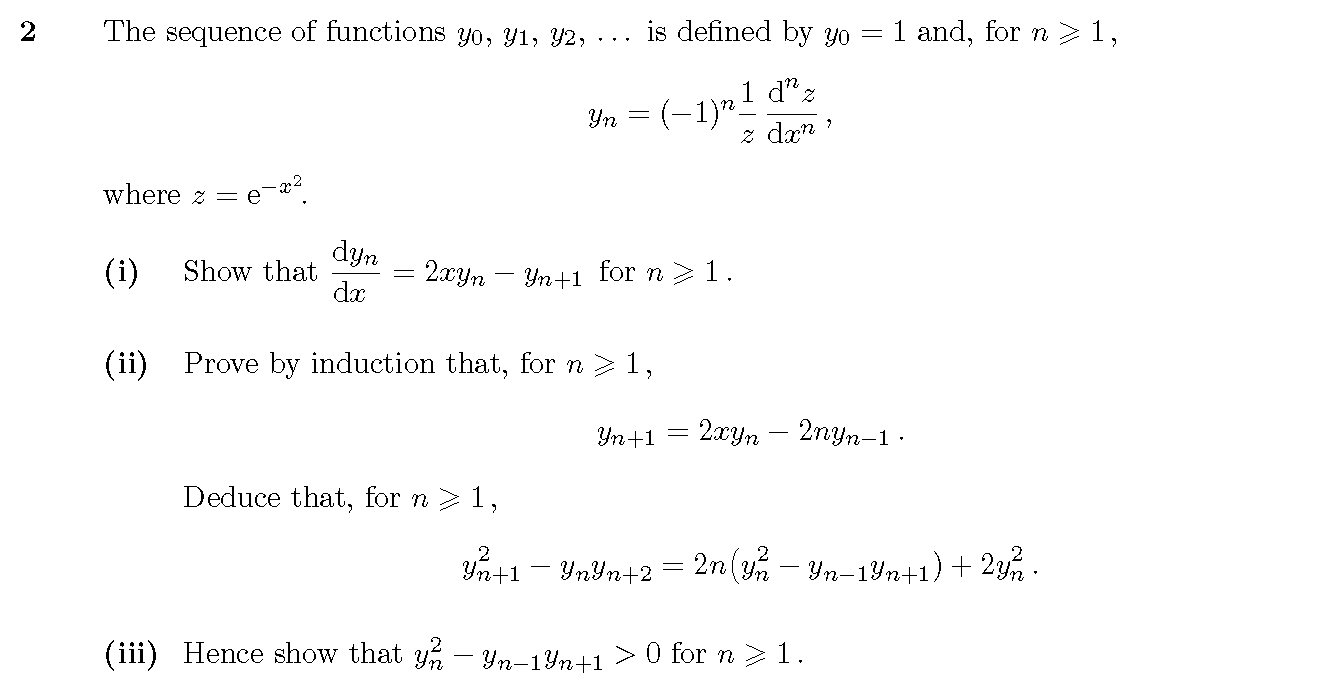
Tags Hermite polynomials Code 18-S3-Q2 Year 2018 Step 3 Question number 2 Hermite, differentiation, recurrence, Fibonacci, polynomials. [STEP III 2018 Question 2 (Pure)]