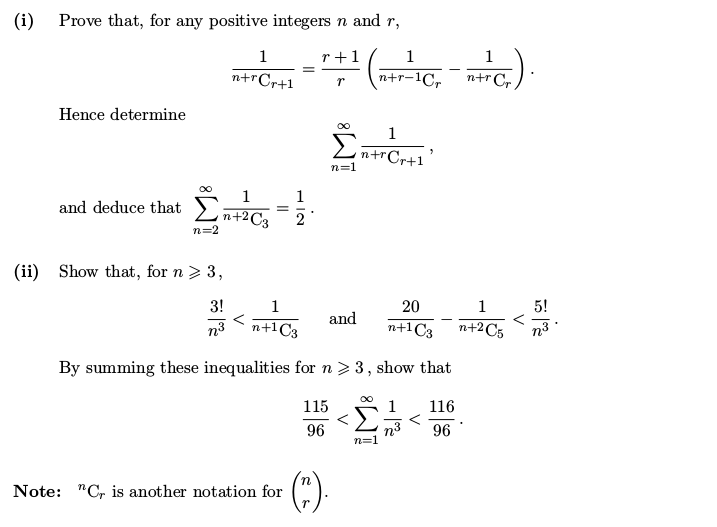
17-S3-Q1