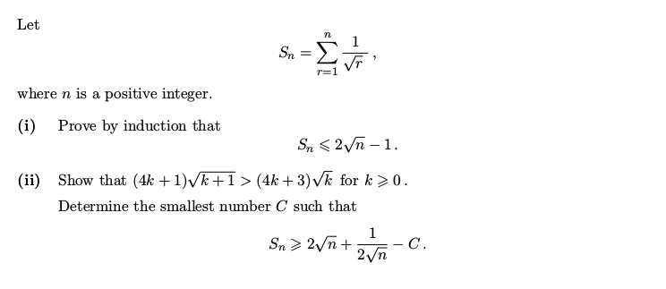
Tags Inverse square root series Code 17-S2-Q6 Year 2017 Step 2 Question number 6 Series, square root, induction, inequalities. [STEP II 2017 Question 6 (Pure)]