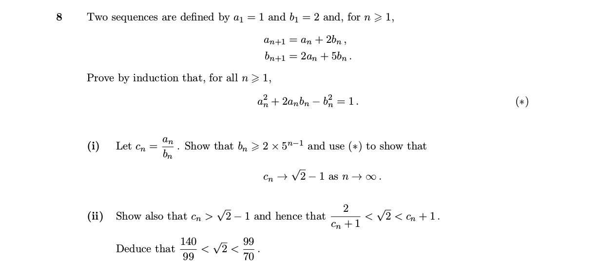
Tags Sequence Code 17-S1-Q8 Year 2017 Step 1 Question number 8 Sequences, double sequences, induction, approximation for root two, rational approximation. [STEP I 2017 Question 8 (Pure)]