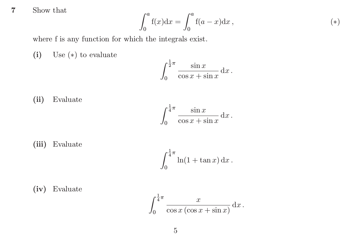
Tags Trigonometric integrals Code 16-S2-Q7 Year 2016 Step 2 Question number 7 integral, substitution, change of variable, trigonometric functions. [STEP II 2016 Question 7 (Pure Mathematics)]