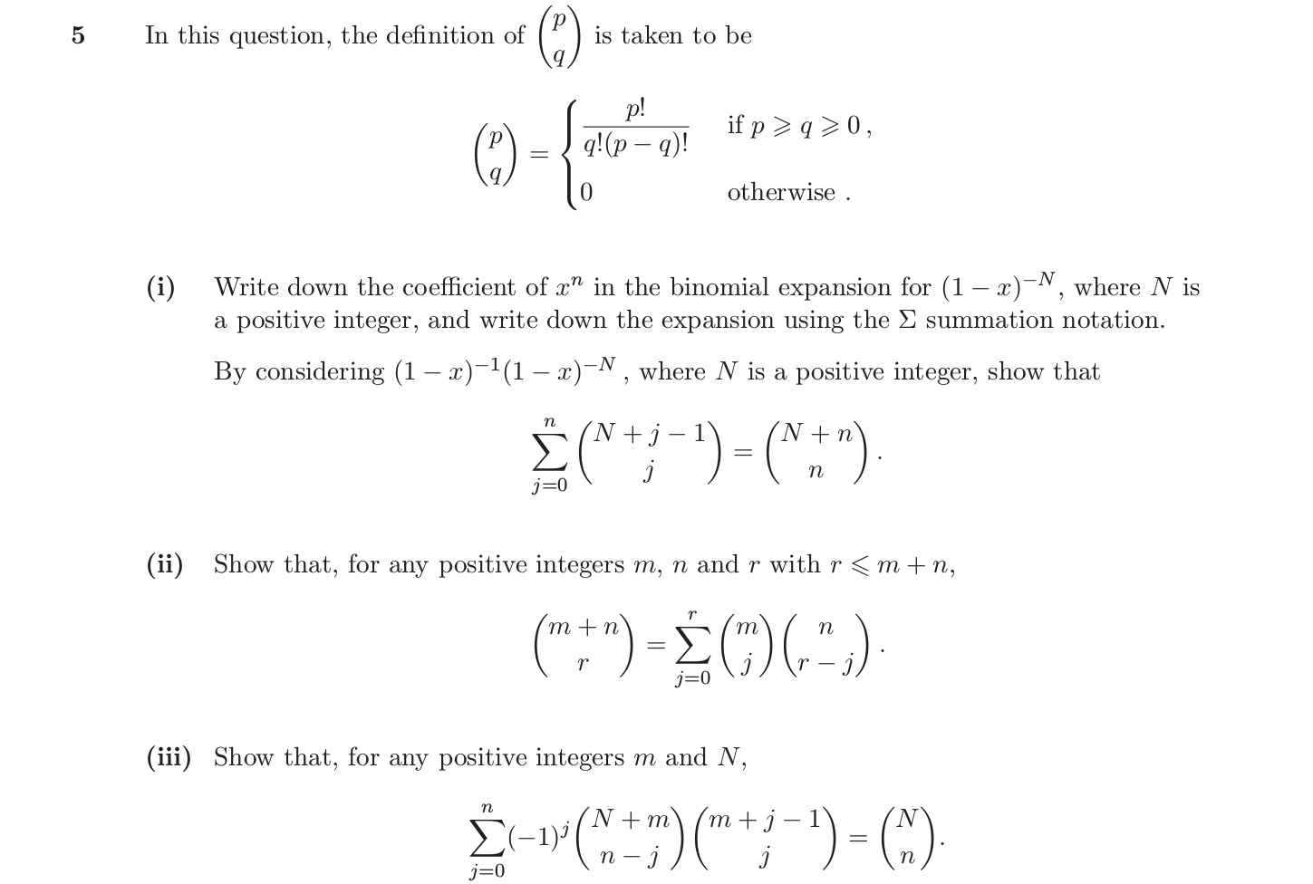
Tags Binomial identities Code 16-S2-Q5 Year 2016 Step 2 Question number 5 binomial coefficient, negative binomial expansion,chu, vandermonde identity. [STEP II 2016 Question 5 (Pure Mathematics)]